comentarisviruslents

Aquest blog és una seguit de comentaris personals i probablement poc transferibles sobre ciència i política.

Archivos en la Categoría: microbiologia ambiental

Comentaris virus-lents (188): I ara como inactivem H5N8 un cop ens ha entrat…

Estem en plena onada de la soca H5N8 del virus de la grip aviaria a Europa…veurem com es van desenvolupant els esdeveniments de la seva progressió però el motiu d’aquesta entrada no és aquest, és parlar de com inactivar el virus, de com descontaminar o desinfectar un àrea, element o estri contaminat.

cabezal_influenza_cataluna

de: https://avicultura.info/influenza-aviar-control-cataluna/

El primer fet a constatar és que la inactivació és un procés físic o químic (també pot ser biològic però no embolicarem la troca) que no és massa depenent de soca. La inactivació actua sobre el embolcall, la càpside o l’àcid nucleic; per a tots els virus de influença A que ens ocupen les diferències es troben a nivell de seqüència, ja sigui de nucleòtids o aminoàcids però no tenen un trasllat evident a una major o menor estabilitat del embolcall o de la càpside (o no ha estat descrit fins ara). Un H5N8 és “igual” que un H5N1, un H7N1 o un H7N9 quan s’enfronta a una solució alcohòlica, una dilució de lleixiu o l’acció de la llum ultraviolada. Sí que s’ha trobat algunes diferencies entre soques en condicions ambientals, en principi, menys agressives. Fent una imatge gràfica, tots els virus influença A responen igual quan els disparem un obús però no quan els disparem amb una fona de forma continuada.

Sí té molta importància, però, el medi circumdant. Per fer una bona desinfecció ens cal abans haver retirat la major part de la matèria orgànica interferent (això pot semblar fàcil, relativament, en estris, aparells, maquines i roba però no ho és gens en naus o instal·lacions que han contingut animals). Aquesta retirada o reducció és fonamental. Si no es fa així pot passar que el consum de desinfectant sigui superior, o molt superior al teòric ja que cal comptar que una part del mateix no es dedicarà a inactivar el virus si no que quedarà segrestat i inutilitzat per la matèria orgànica.

I contra el pensament generalitzat el virus de la influença aviar H5N8, com les altres soques HPAI (Highly Pathogenic Avian Influenza), s’excreta majoritàriament a través de les femtes; certament també ho fa en menors quantitats per tràquea i vies respiratòries però la via principal és la fecal. I parlem de paraules majors, del ordre de 10.000.000 virus infecciosos per gram de femtes en animal infectat. Les femtes, quan s’assequen, poden ser resuspeses pel vent, per accions mecàniques com escombrats o trepitjades fortes i llavors passen a l’aire si bé de forma inestable (acaben tornant al terra o sobre objectes i superficies). A més un cop infectat l’au pot estar excretant el virus per dies…fins a la seva mort, que en el cas d’aus infectades per HPAI és pocs dies després.

 

SANT GREGORI GIRONES SOCIETAT  GRANJA ANECS 23 02 17 FOTO ICONNAde: http://www.elperiodico.com/es/noticias/medio-ambiente/agricultura-ordena-sacrificio-granjas-patos-gripe-aviar-5859245

Llegim ara aquest petit extracte…

Tras la eliminación de los cadáveres, todas las naves o recintos en los que se hayan alojado las aves de corral u otras aves cautivas, los pastos o terrenos, los vehículos utilizados para su transporte o el de sus cadáveres, carne, piensos, estiércol, purines, yacija y cualquier otro material o sustancia que pueda estar contaminado, serán sometidos a un procedimiento de limpieza y desinfección…. Se certificará la misma mediante acta oficial.

A: MANUAL PRÁCTICO DE OPERACIONES EN LA LUCHA CONTRA LA INFLUENZA AVIAR en: http://rasve.magrama.es/Recursos/Ficheros/Manuales/MARM/78_Manual%20IA%20Actualiz%20septiembre%202014.pdf

 

En el buidat d’una granja es donen una sèrie d’accions successives i complementàries. S’han d’eliminar els animals de la forma més humanitària possible; s’han de processar els seus cadàvers perquè no puguin transmetre la infecció; i s’ha de desinfectar la instal·lació per poder tornar a entrar animals que no s’infectin altre cop amb virus encara existents a la mateixa…si tornen a entrat “de novo” pot ser un problema de maneig o de manca de bioseguretat atribuïble al granger (en el cas d’instal·lacions tancades; quan són obertes, el medi ambient mana). Desenvolupem una mica cada acció.

 

La neteja i la desinfecció de les explotacions infectades s’ha de dur a terme seguint un protocol bastant estricte.

Cal una neteja i desinfecció prèvies: En el moment de matar les aus caldrà fer-ho de forma que s’eviti o redueixi al mínim la dispersió dels virus; per això és convenient portar els equips temporals de gasificació i desinfecció al costat de la nau, el subministrament de vestimenta protectora, dutxes, i sistemes de descontaminació de l’equip, instruments i elements utilitzats, així com anular, o no alimentar, el sistema de ventilació.

Tot l’equip portàtil es desmantellarà per a la seva neteja i desinfecció separada. Es desinfectarà tot el material que s’hagi utilitzat en el sacrifici (roba, botes, estris, vehicles, bolquets, pales, etc.). Els materials d’un sol ús seran retirats de forma segura (recipients tancats i hermètics) per la seva posterior eliminació (idealment incineració). Les instal·lacions elèctriques i equips electrònics s’han de protegir per al seu posterior tractament específic, que normalment implica una fumigació amb formaldehid.

Les parts de l’explotació en què s’haguessin allotjat els animals sacrificats, així com parts d’altres contaminades durant el sacrifici o la necròpsia, es fregaran i netejaran de tota matèria orgànica emprant un producte de neteja de les superfícies, començant pel sostre o teulada, a continuació les parets, de dalt a baix i finalitzant per terra. Després de la neteja es ruixen les superfícies amb desinfectants autoritzats (veure un llistat bàsic més a baix). Les operacions de neteja (aigua i detergent), a fons, han de ser prèvies a les operacions de desinfecció per eliminar gran part de la matèria orgànica que impedeix l’adequada actuació de molts dels desinfectants. El desinfectant aplicant romandrà sobre la superfície tractada durant almenys 24 hores (és a dir, no esbandirà, es deixarà assecar).

Després es farà una neteja i desinfecció finals, que implica un nou desengreixat de les superfícies per treure brutícia residual i aclarit amb aigua freda tornant a ruixar de nou les superfícies amb desinfectant. Transcorreguts set dies es tornaran a repetir totes les operacions de neteja i desinfecció.

 

Com eliminar el llit i les femtes dels animals? El llit i els fems de l’explotació, un cop eliminats els animals, s’hauran de tractar mitjançant un mètode idoni per eliminar el virus. Els mètodes contemplats per la legislació europea són: tractar-los amb vapor fins assolir 70ºC; destrucció per incineració o enterrament a una fondària tal que impedeixi l’accés d’aus silvestres i altres animals,;o ser sotmesos a un compostatge/compactació que generi calor interna, ruixats amb desinfectants i deixats almenys per 6 setmanes abans de qualsevol altra manipulació. Umm, 70ºC, incineració, calor interna? L’explicació és obvia; està més que demostrat que independentment de la soca aquests virus són molt poc estables tèrmicament i temperatures de 56-60-65ºC determinen inactivacions de 4-5 o més log (això vol dir inactivar 10.000-100.000 virus) en períodes curts de temps 30 min., mentre que temperatures de 70-80ºC o superiors poden assolir la inactivació total en terminis molt més curts, 1-5 min.

Qualsevol moviment de llit o femtes d’animals, al lloc on seran eliminats o bé a un lloc d’emmagatzematge transitori abans de la seva destrucció o tractament, es realitzarà en vehicles o recipients tancats i estancs, sota supervisió oficial, per evitar propagació ulterior del virus.

Si es determina que no és possible netejar i desinfectar alguna de les explotacions o part de les mateixes, es podrà prohibir l’entrada de persones, vehicles, aus de corral, aus captives, mamífers d’espècies domèstiques o objectes a aquestes explotacions o part de les mateixes per un mínim de 12 mesos.

 

L’elecció dels desinfectants i dels procediments de desinfecció es farà en funció de la naturalesa de les explotacions, vehicles i objectes que es s’hagin de tractar.

Els desinfectants que s’hagin d’utilitzar i les seves concentracions hauran estat prèviament autoritzats i s’utilitzaran seguint, o bé les recomanacions del fabricant quan es disposi d’elles o bé les instruccions del veterinari oficial.

Els desinfectants, productes químics, i / o procediments que pot ser necessari emprar són els següents:

Objecte a desinfectar Desinfectant / producte químic / procediments
Aus vives Eutanàsia (diòxid de carbono;dislocació del coll)
Canals Enterrar o cremar
Galliners/equips Sabons i detergents; agents oxidants i àlcalis
Humans Sabons i detergents
Equips elèctrics Fumigació amb formaldehid
Aigua Drenar al camp quan sigui possible
Pinso Enterrar
Efluent, fems Enterrar o cremar; àcids, àlcalis
Vivendes Sabons i detergents, agents oxidants
Maquinària, vehicles Sabons i detergents, àlcalis
Roba Sabons i detergents, agents oxidants i àlcalis

 

I el llistat de detergents i desinfectants genèrics d’elecció seria el següent:

Sabons i detergents: temps de contacte 10 minuts.

Agents oxidants:

  • hipoclorit sòdic: líquid, diluir fins a 2-3% de clor disponible, no és adequat per a materials orgànics, degut a l’emissió de cloramines i gasos amoniacals. Temps de contacte 10-30 minuts.

  • hipoclorit càlcic: sòlid o en pols, diluir fins a 2-3% de clor disponible (20 g/litre si és pols, 30 g/litre si és sòlid), no adequat per a materials orgànics. Temps de contacte 10-30 minuts.

  • Virkon®: 2% (20 g/litre). Temps de contacte 10 minuts.

Àlcalis: (no utilitzar amb alumini o altres aliatges similars)

  • hidròxid sòdic (NaOH): 2% (20 g / litre). Temps de contacte 10 minuts.

  • carbonat de sodi (Na2CO3. 10 H2O): 4% (40 g/litre si és en pols, 100 g/litre si està cristal·litzat), recomanat per a ús en presència de materials orgànics. Temps de contacte 10-30 minuts.

 Àcids:

  • àcid clorhídric (HCl): 2% (20 ml/litre), Corrosiu, utilitzar només si no es disposa d’altres productes químics.

  • àcid cítric: 0.2% (2 g/litre), segur per descontaminar la roba i el cos. Temps de contacte 30 minuts.

Gas formaldehid: tòxic, només si no fos possible utilitzar altres productes. Temps d’exposició 15-24 hores.

Una llista més extensa i detallada la trobareu a:

http://www.fao.org/avianflu/en/disinfection.html

 

En resum, es cerca portar l’embolcall i/o la càpside del virus a la seva degradació. Els detergents i tensioactius actuen sobre la bicapa lipídica del embolcall desorganitzant-la i trencant-la. Els pH extrem d’àcids i àlcalis són útils ja que els virus influença són molt sensibles a pH força àcids (per sota de 3) o força bàsics (per sobre de 12). Qualsevol agent oxidant com el Virkon o el lleixiu actua sobre els radicals lliures del proteïnes de càpside i embolcall degradant-les. Si la concentració de lleixiu és prou alta fins i tot pot trencar els àcids nucleics per punts inespecífics.

 

Eliminació de cadàvers:

Els mètodes autoritzats de destrucció dels cadàvers són: l’enterrament, la incineració i l’enviament a plantes de transformació de cadàvers i subproductes carnis. L’elecció del mètode de destrucció dependrà de diferents factors, com: la localització de les naus infectades, el nombre d’animals de l’explotació, el tipus d’explotació, la disponibilitat i característiques del terreny per efectuar la incineració o l’enterrament i la proximitat a l’explotació d’una planta de transformació.

En qualsevol cas els cadàvers de les aus sacrificades s’han de ruixar amb desinfectant i ser retirats de l’explotació en vehicles o recipients tancats i estancs. Els teixits o la sang que s’hagin vessat durant sacrificis o necròpsies s’ha de recollir amb cura i eliminar juntament amb les aus sacrificades.

Si el mètode escollit és l’enterrament:

  • Els cadàvers a la fossa han de ser ruixats amb calç viva entre capa i capa que serà distribuïda uniformement.

  • Per tancar la fossa es cobrirà, com a mínim, amb 1,5 metres de terra.

  • Abans de cobrir la fossa totalment es llançarà tot el material d’un sol ús, vestidors, calçat, utilitzat pel personal durant les operacions.

  • L’àrea al voltant de la fossa serà ruixada amb un desinfectant adequat.

  • L’entrada a aquesta fossa serà tancada i es prohibirà l’accés. Vigilar l’entrada de gossos, gats, ocells, etc. als voltants de la fossa.

  • Tot el material i equips emprats en aquestes operacions han de ser apropiadament desinfectats.

Si la fossa d’enterrament està situada fora de l’explotació, caldrà que estigui el més allunyada possible de camins públics, habitatges i altres explotacions però alhora que sigui de fàcil accés pels camions i maquines excavadores.

Si el mètode d’elecció és la incineració, caldrà emprar una gran quantitat de material inflamable per a la incineració dels cadàvers i caldrà una supervisió i custodia constant del material a incinerar. Això porta el problema logístic de com fer arribar els cadàvers a la instal·lació incineradora; com bé sabeu no n’hi ha gaires incineradores.

En qualsevol cas, els vehicles utilitzats per al transport, han d’anar precintats i ser a prova de fuites per evitar les pèrdues de líquids durant el transport, per a això són convenients els vehicles amb cubetes estanques, que impedeixin l’eliminació de material (sang, excrements,…) durant el transport; aquests vehicles hauran de ser subjectes d’una completa neteja i desinfecció posterior.

 

Com veieu és un problema logístic important que es multiplica quan el nombre d’animals creix i encara es multiplica més quan tens diversos focus que gestionar. Descartant l’atzar, si un no és completament estricte en tots els focus del brot pot involuntàriament permetre propagacions secundàries o el que és pitjor, en trànsit. Això pot explicar, ni que sigui parcialment, que en tres mesos a França encara estiguin bregant amb la soca H5N8.

 

Però aquesta, aquesta és una altra història.

Comentaris virus-lents (160): El Niño pot portar epidèmies sota el braç.

Està descrit que les condicions o fenòmens climàtics d’abast mundial, com és el fenomen de El Niño, conegut en el món científic com a ENSO (El Niño-Southern Oscillation El Niño-Oscil·lació del Sud), poden tenir impactes seriosos en la salut de molt amplies zones geogràfiques, particularment incrementant la transmissió de malalties infeccioses. Per saber més sobre ENSO aneu a https://ca.wikipedia.org/wiki/El_Ni%C3%B1o.

Estem parlant d’un fenomen cíclic però amb una periodicitat variable. Es repeteix des de fa segles, en cicles de 3 a 6 anys, amb una via d’anada (El Niño) i una de tornada (La Niña). A més, aquest fenomen no segueix cap calendari humà i tampoc hi ha una definició oficial o comunament acceptada de quan es pot dir que hom està en un event “El Niño”. Si heu llegit l’enllaç anterior sabreu que Els Niños molt forts succeeixen cada 50 anys, en mitjana; els Niños normals o canònics succeeixen cada 3 o 4 anys, en mitjana. Aquests tenen sovint efectes benèfics sobre les collites i el manteniment dels aqüífers i altres recursos en aigua, però provoquen danys apreciables un cop cada 10 anys aproximadament. Aquests cicles són, ara per ara, independents del tant esmentat canvi climàtic, la pujada de la temperatura per l’activitat humana, però el més probable és que aquest darrer l’afecti exacerbant els seus efectes (bàsicament extremant períodes de sequera o de pluges intenses) i alterant la seva freqüència.

Ara per ara, “El Niño” genera de forma sistemàtica episodis de sequera a la zona nord d’Amèrica del Sud i a Austràlia, Indonèsia, Filipines, i al Sud-est africà, incloent Madagascar. Per contra acostuma a generar molta pluviositat al  nord d’Argentina i Uruguay, al sud-est dels EEUU, fins Arizona i a la zona de la vall del Rift (Etiòpia, Kenya, Sudan del Sud, Uganda,etc.), a al sud de la India, incloent Sri Lanka.

Fenòmens com El Niño poden tenir conseqüències directes per a la salut al causar danys a les infraestructures, o per derivar recursos sanitaris no sempre suficients a prioritats puntuals. Però El Niño també té un efecte indirecte, al generar pèrdues de collites o ramats, gana, o malnutrició, i molt sovint migracions humanes; tots ells factors que faciliten la propagació de malalties infeccioses, al posar en contacte població no immunitzada amb poblacions infectades o carriers, a la recerca de menjar.

Una gràfica que resumeix aquests efectes es mostra a continuació…

ENSO potencials efectes salut pública

Inspirat per Kovacs et al., Lancet 2003

 

I quins exemples de malalties es veuen afectades per ENSO?

La incidència de la malària, una entre moltes malalties de transmissió vectorial, a diferents parts del món, es pot veure afectada per ENSO, incrementant la seva incidència o disminuint-la, en una relativament boja combinació d’efectes. A les terres altes del nord del Pakistan, temperatures suaus a la tardor i l’hivern, associades amb El Niño, incrementen la transmissió de malària. També a Uganda i Rwanda, temperatures més altes i pluges més intenses afavoreixen la malària però alhora pluges molt intenses (Tanzània, 1997) arrastraren tants punts de posta de vectors que els casos de malària descendiren. Brots de malària a Sri-Lanka, Colòmbia i Irian Jaya s’han lligat a sequeres causades per El Niño.

També s’ha trobat un lligam entre les epidèmies del dengue i ENSO a zones del sud-est asiàtic, Sud-Amèrica i les terres insulars del Pacífic. Aquí però hi ha un element distorsionador i és que en molts casos els vivers dels mosquits són producte de la intervenció, involuntària, humana.

També s‘ha relacionat ENSO i brots d’arbovirus indígenes d’aquell continent, com l’encefalitis Murray Valley, que es manifesta després de riuades i inundacions associades a “La Niña”. O la poliartritis epidèmica causada pel Ross River virus.

Un altre cas el tenim amb la febre de la vall del Rift causada pel Rift Valley Fever Virus (RVFV), una malaltia de transmissió arboviral que pot afectar intensament els ramats i de retruc les poblacions humanes que depenen d’ells. La inundació dels habitats dels mosquits determinen la seva proliferació i l’inici del brot en animals; els humans també queden exposat a la fiblada del mosquit o a l’exposició de carn, llet o sang contaminada amb RVFV.

Les més gran epidèmies de RVF a Àfrica coincideixen amb events “El Niño” particularment intensos; 1997-1998 i 2006-2007, per exemple; aquest darrer, causà més de 200.000 infectats i 500 morts a Kenya, Somàlia, Tanzània, Sudan i Madagascar, així com milions d’euros de pèrdues en bestiar i prohibicions d’exportació.

Els models matemàtics i climatològics dissenyats per preveure aquests fenòmens assenyalen que per aquest any 2016 les zones més perilloses serien Sudan, Etiòpia, Somali, Kenya i Tanzània. Aquest models tenen interès perquè poden permetre uns mesos abans iniciar dues accions fonamentals de caràcter preventiu com serien; vacunació dels animals (pel que fa a RVF això és possible ja que hi ha una vacuna per animals, encara no per humans) que sempre ha d’anar abans de la infestació de mosquits; i control del vector, que implica aplicar agents larvicides als vivers de mosquits abans que les pluges intenses, les inundacions els multipliquin.

També ENSO pot afectar les malalties transmeses per rosegadors. El nombre de rosegadors s’incrementa habitualment després d’hiverns temperats i humits. A Nou Mèxic els casos de pesta (Yersinia pestis) són més freqüents després d’hiverns i primaveres plujoses. El descobriment dels Hantavirus (si voleu saber més aneu a l’entrada 10, https://comentarisviruslents.org/2014/06/25/comentaris-virus-lents-10-el-virus-exposit-no-sin-nombre/) i els posteriors brots estan lligats també a ENSO però de forma oposada. A un plujós fenomen d’ENSO seguí una sequera que apropà molt els rosegadors a altres fonts alternatives de menjar, graners, incrementant les interaccions rosegadors-humans. Durant i després de l‘episodi ENSO de 1997-98 les poblacions de rosegadors es multiplicaren per 20, i els casos de síndrome pulmonar per hantavirus es multiplicaren per cinc.

Però on l’efecte és potser més directe és a les infeccions entèriques; les riuades  i inundacions porten a la contaminació dels subministraments d’aigües. Als països tropicals les malalties entèriques tenen un fort repunt a l’època de pluges, i qualsevol fenomen que les reforci, com ENSO, les intensifica. Hi ha estudis que correlacionen la incidència de còlera a Bangladesh i la temperatura de l’aigua superficial a la badia de Bengala, que de retruc afectaria l’abundància de plàncton, un reservori de Vibrio cholerae. De fet, hi ha un model validat que relaciona ENSO amb les epidèmies de colera (Vibrio cholerae) a Dhaka, la capital de Bangladesh, amb 7 milions d’habitants densament empaquetats; la epidèmia es pot predir amb quasi un any d’avançament segons el model climàtic.

Sigui per causes climatològiques locals, no relacionades amb ENSO, sigui pels patrons multianuals relativament anàrquics d’ENSO o sigui per l’escalfament global de la Terra a conseqüència del canvi climàtic, el clima, impactant sobre les poblacions i nivells d’activitats de vectors o dels seus hostes i les interrelacions entre ells, té un efecte continu, i potser ara mateix manifestament unidireccional, en l’emergència o dispersió d’infeccions víriques i bacterianes.

Però aquesta, aquesta és una altra història.

Comentaris virus-lents (136): Periodisme científic, ensopegant amb les pedres habituals.

Un espera que el seu diari habitual sigui curós i s’alegra quan veu la cura en la maquetació però sobre tot en els continguts de les diferents seccions i s’emprenya quan aquesta cura, o una lectura atenta abans de l’edició final, llueix per la seva absència.

 

Aquest és el cas de la noticia que ens ocupa, del diari ARA: LA BIODIVERSITAT DINS D’UN FORMATGE, que es va publicar en paper en data 11 d’octubre i que es pot trobar a Internet a l’enllaç http://www.ara.cat/suplements/diumenge/biodiversitat-dun-formatge_0_1447055284.html sense cap esmena o rectificació a l’edició impresa.

 

blue_valdeon

L’article té un fons interessant que ve de l’aprofitament i selecció silenciosa, sense conèixer exactament els mecanismes finals, però clarament dirigida, dels fongs que s’addicionen als formates per aconseguir algunes textures i sabors inigualables i en qualsevol cas específics; és el cas del camembert, el brie, el rocafort (roquefort), etc. L’espècie humana actua com accelerador de l’evolució que podria ser lenta, forçant la multiplicació del fongs dia rere dia en unes condiciones que no eren naturals per ells (els Penicillium, són típics fongs dels sols i descomponen matèria orgànica, de natura majoritàriament vegetal), en un ambient de llet quallada. Els fongs, amb els successius passis, han desenvolupat una maquinària enzimàtica a partir d’expressió de gens propis, la mutació d’altres, i a través de gens manllevats d’altres microorganismes amb els que comparteixen l’àpat. L’article apunta als mecanismes de transferència horitzontal de gens, una altra manera d’expressar el que he indicat a la frase prèvia i que té gran importància si ho apliquem al camp de la salut pública ja que es considera un mecanisme cabdal en l’adquisició de noves resistències als antibiòtics per part dels bacteris. Un bacteri sensible a l’estreptomicina, en certes circumstàncies pot captar, o rebre, un paquet, una anella de gens que codifiquen resistència a l’antibiòtic i aleshores progressar en presència d’aquest. Aquesta transferència li ve conferida per un bacteri que ja és resistent.

 

Els autors esmenten que hi havia pocs indicis d’aquesta transferència horitzontal de gens entre eucariotes (com són els fongs, però també nosaltres, els animals, per exemple). Recordem que eucariota (del grec eu, ”veritable”, i karyon, ‘nou” o “nucli”) vol dir etimològicament que té nucli evident, visible, veritable. A aquest concepte se li “oposa” el terme procariota, que no té nucli definit (altra cosa és que ambdós tenen la mateixa mena de material genètic, l’ADN, i la mateixa manera d’expressar-lo en forma de proteïnes).

 

L’errada antològica ve que parlant dels fongs com a eucariotes, cap al final de l’article (correcte) parla als titulars de l’article de “Els bacteris que habiten als diferents tipus de formatges no s’escapen de l’evolució” al segon títol, en tipografia gran. I no contents amb això reblen el clau amb un altre títol interior “Viatge al passat dels bacteris” i després passa a parlar immediatament dels fongs establint una sinonímia del tot inesperada i impròpia.

 

Si els periodistes que es dediquen a la redacció de temes científics, i sí, la producció dels formatges és ciència, en aquest cas microbiologia aplicada, no són curosos en les seves analogies i comparacions i deixen espai a les errades o interpretacions incorrectes mai aconseguirem que la gent entengui bé i frueixi amb la ciència del dia a dia…i en aquest cas amb els formatges.

Però aquesta, aquesta és una altra història.

Comentaris virus-lents (131): Chikungunya autòcton? Donde dije digo digo Diego.

Fa més d’un mes es va informar del primer cas autòcton de Chikungunya a la Península Ibèrica, en una persona al País Valencià. El fet no era inesperat ja que s’han donat ja casos autòctons a altres països de la conca mediterrània com França i un més espectacular pel nombre d’afectats (uns 200) a Itàlia, el 2007. A més, el vector de la malaltia, el mosquit tigre, Aedes albopictus ja està estès per tot el litoral mediterrani de la Península Ibèrica. Com ja he comentat en aquest blog (veure entrades 8, 20, 39, 40, 61 pel que fa a Chikungunya) disposar del vector artròpode en expansió, de desenes de milers de persones que viatgen com a turistes a zones que son endèmiques o estan en ple cicle epidèmic (com és el Carib) és un còctel que acabarà fent-se molotov.

Fins l’incident descrit, la Conselleria de Sanitat Universal i Salut Pública de la Generalitat valenciana havia informat de 21 casos de Chikungunya al llarg de l’any 2015, tots ells importats, ja que el contagi s’havia produït en països on la malaltia era endèmica.

Però no serà encara…que Chikungunya sigui autòcton. La mateixa conselleria va informar fa pocs dies que el cas “autòcton” de Chikungunya anunciat el 31 de juliol a Gandia (València) va ser un fals positiu i el pacient no va tenir la malaltia, de manera que de moment no hi ha evidències de la transmissió d’aquesta malaltia a la península Ibèrica.

 

Repassem la història. Una primera anàlisi practicada a un cas sospitós de Chikungunya (home de 60 anys que resideix i treballa a Gandia) va donar un resultat positiu a la presència de la malaltia. En no haver viatjat a zones on la malaltia és endèmica abans del període de incubació, l’única possibilitat que explicava el contagi és que hauria passat a Gandia, com es va comunicar.

En tenir coneixement del cas, la Conselleria de Sanitat va activar el protocol de Malalties de Declaració Obligatòria (MDO) relatiu a Chikungunya, que suposa procedir a notificar el cas a les autoritats sanitàries estatals i europees, així com la comunicació pública del considerat primer contagi autòcton de Chikungunya a la Península Ibèrica i la posada en marxa de mesures de control epidemiològiques i entomològiques. Per exemple, i aquesta és una activitat que es fa a CReSA per l’àmbit de Catalunya, mostrejar mosquits de l’habitat o ambient de la persona afectada per avaluar la presència del virus en els mateixos.

Com també estableix el protocol, es va remetre una segona mostra al laboratori del Centre Nacional de Microbiologia de l’Institut de Salut Carlos III a Majadahonda (Madrid) per confirmar les dades del primera anàlisi. En aquest cas, el resultat va ser negatiu al virus de la Chikungunya. Cal recordar, no em cansaré mai, que les anàlisis mai són absolutes al 100%, això ho deixem per series com CSI. Les tècniques analítiques (i més en el camp de la microbiologia) sempre tenen un marge d’error, perquè es poden donar reaccions creuades, que hi hagi quelcom que reaccioni amb el reactiu i doni una reacció equivalent a l’esperada; i també tenen un límit de sensibilitat, que és el que pot generar els falsos negatius.

Yes No disjuntive ID-10094976

Davant la contradicció dels resultats entre el primer i el segon anàlisi, es va sol·licitar un tercer també al Centre Nacional de Microbiologia… Aquesta tercera prova també va descartar l’existència de contagi de Chikungunya. Per tant davant de dues analítiques negatives es considera el primer com un fals positiu, un succés infreqüent però no impossible.

L’altre cara de la moneda són els falsos negatius. Però d’això ja parlarem en un altra entrada. Ara per ara podem respirar alleugerits, Chikungunya no està a la península … encara.

Clar que no únicament Chikungunya demana entrar. Hi ha altres como el MERS, el dengue, actius, que poden arribar-nos properament.

 

Però aquesta, aquesta és una altra història.

Comentaris virus-lents (111): Norovirus, els axiomes estan per ser trencats.

Un estudi publicat el mes de març al Clinical Infectious Diseases titulat Detection and Quantification of Airborne Norovirus During Outbreaks in Healthcare Facilities, alerta que aquest virus, que infecta anualment centenars de milers de persones a tot el món, i arruïna moltes vacances a creuers (per una entrada específica sobre aquest tema pitgeu enllaç https://comentarisviruslents.org/2014/07/07/comentaris-virus-lents-16-norovirus-i-creuers-laxants/), es troba suspès a l’aire d’ambients amb malalts i per tant pot propagar-se a través d’ell a persones no infectades.

dsnorovirus_379px.jpg

El corol·lari a tot això seria que les precaucions de seguretat implementades actualment per controlar els norovirus podrien no ser suficients i seria una possible explicació de per què els brots de norovirus son difícils de contenir i eliminar.

Les mesures actuals, tenint en compte que es tracta d’un virus de transmissió fecal-oral, als entorns hospitalaris, estan pensades i dissenyades per limitar el contacte directe amb els pacients infectats, i les fomites properes. Tenint en compte aquestes dades, però, potser ha de valorar-se una possible transmissió aèria dels norovirus, amb la qual cosa l’ús d’unitats mòbils de filtració d’aire o la utilització de protecció respiratòria (mascaretes FFP3 o NS95) quan es té cura de pacients amb gastroenteritis podrien ser adients.

norovirus

Norovirus vistos per micrografia electrònica.

Les dades epidemiològiques indiquen que els norovirus són l’agent causal de gairebé el 50% de casos de gastroenteritis vírica (recordeu febre, diarrea, vòmits, i dolors abdominals), el que moltes vegades és mal anomena grip estomacal (la “stomach flu” anglesa) per molt que aquí el virus influenza, el virus de la grip no te cap intervenció.

L’estudi s’ha dut a terme en 8 instal·lacions hospitalàries on s’atenien brots de norovirus. Els investigadors van recol·lectar mostres d’aire, un total de 48 mostres, a un metre dels pacients, al nivell de la porta de les seves habitacions i a les estacions d’infermeria, localitzades en alguns casos a desenes de metres. La recol·lecció es feu amb un mostrejador d’aire, un aparell que filtra l’aire i segresta tot el material particulat que després s’analitza. Per tant no s’analitzava la seva presència a possibles superfícies contaminades o fomites.

En sis dels vuit centres es trobaren norovirus a l’aire. Els virus foren aïllats en un 54% de les habitacions dels pacients malalts que es van assajar; en un 38% de les portes de les habitacions de malalts que menaven als passadissos i en un 50% de les estacions d’infermeria assajades.Les concentracions del virus anaven de les 14 a les 2.350 partícules per metre cúbic d’aire. Els autors de l’estudi assenyalen que una dosi de 20 partícules de norovirus és normalment suficient per infectar algú. Tenint en compte que inhalem una mitjana de 10-15 litres per minut en una activitat normal, basal (http://www.arb.ca.gov/research/resnotes/notes/94-11.htm), en 60-100 minuts haurem arribat als 1.000 litres, o 1 metre cúbic. En una jornada laboral normal de 8 hores, assumint valors constants, hom podria inhalar entre 100 i 18.000 partícules de norovirus.

Tanmateix no saben si tots els norovirus suspesos a l’aire són tots infecciosos, ja que la detecció es feu per presència d’àcid nucleic (fent servir la reacció en cadena de la polimerasa, com a CSI), i els norovirus humans no son cultivables, no es poden propagar. Proves indirectes, però, apunten a que resistirien bé aquestes condicions i arribant a la cavitat nasal podrien vehicular-se passivament cap a gola i tracte digestiu on generar infecció.

És evident que caldran més proves però no deixa de ser un toc d’alerta. No estem parlant de projeccions de vòmits o exudats que resten a poques desenes de centímetres del pacient i es dipositen ràpid, i que es poden gestionar portant guants i desinfectant sovint les superfícies o fomites afectades. Estem parlant d’un material que es manté en suspensió, per temps indeterminat.

Res, doncs, que els norovirus, acostumats als creuers (veure entrada 16) ara s’han tret una mena de passatge d’avió.

Però aquesta, aquesta és una altra historia.

Comentaris virus-lents (73): Pesta, pesta, pesta; 3 onades històriques

Yersinia pestis és l’agent infecciós que, juntament amb la malària, ha estat responsable directa de més morts a la població de entre totes les malalties infeccioses conegudes, amb dades històriques. Ha originat diverses pandèmies com la Plaga de Justinià (541-542dC), que va assolar Àsia, el nord d’Àfrica,  Aràbia i part d’Europa; la pesta negra (1347-1351 dC), que acabà amb la vida d’un terç de la població a Euràsia; i la Tercera Pandèmia (1855-1918), que començà a Xina i India i acabà per estendre’s a la resta d’Àsia, Àfrica i Amèrica.

Yersinia pestis 3 onades PIIS1473309913703232.gr4.lrg

Deixant de banda la tercer pandèmia (quasi contemporània i que esclatà en la època de grans bacteriòlegs coetanis de Pasteur) certament causada per Yersinia pestis, i encara que s’ha aïllat ADN del bacteri Yersinia pestis a les dents de cadàvers medievals que persones que moriren de pesta negra a Europa, encara alguns historiadors dubten d’aquesta assignació apel·lant per exemple a que la pesta es va propagar massa ràpid com per haver estat causada (solament) per Yersinia, que informes de l’època semblen indicar una transmissió persona-persona, i que a algunes de les zones més devastades les rates no eren gens freqüents. Tampoc coneixem el background genètic de les poblacions afectades, ni pressions selectives del moment que pogueren haver canviat el mode en el que el bacteri es manifesta en éssers humans. Tot i aquestes prevencions, anem a parlar una mica d’aquestes tres onades.

La pesta de Justinià, que es va desfermar a mitjans del segle VI dC, va acabar amb aproximadament un terç de la població de l’Imperi Bizantí, creant greus dificultats militars i financeres. Lamentablement pels descendents de Justinià, que va ocupar el poder a la capital bizantina de Constantinopla en el moment del brot inicial, els historiadors l’entaforaren el nom sense ser-ne causant. Es data l’inici sobre el 541-542 dC, tot i que la pesta va anar corrent per tota la conca mediterrània, en onades successives fins al voltant del 750. S’afirma que l’impacte social i cultural de la pesta durant el període de Justinià és comparable a la que es va produir amb la Mort Negra, la pesta bubònica de l’Edat Mitjana. Es considera, per les fonts escrites, que la pesta es va presentar en la seva forma bubònica; un estudi genètic suggereix que aquestes pestes, i d’altres anteriors, serien causades per unes soques de Yersinia pestis actualment ja extintes, i genèticament diferents de la que desencadenà la pandèmia del segle XIV, o d’altres bacteris d’altres gèneres.

La Mort Negra, o la Pesta Negra. A mitjans del segle XIV (sobre 1345), es va iniciar un brot a les ciutats portuàries del sud d’Itàlia i França que, posteriorment, de manera constant es va estendre cap al nord, matant a milions en el seu camí. Probablement la infecció vingué des de la Xina a través de la ruta de la seda, arribant a ports italians i francesos.

Yersinia Black death 6698-004-B92A927B

La histèria col·lectiva va provocar el buidatge de pobles i ciutats senceres i la religiositat (exagerada, acrítica i manipulable) de l’època va propalar la idea d’un càstig diví pels pecats dels éssers humans, que porta a persecucions i assassinats de leprosos, captaires, gitanos, i com no jueus. Quan finalment arribà a Anglaterra, a mitjans de segle XIV, va acabar també amb un terç de la població de la illa.

Yersinia black death 52d6806035db30e2db6ab4ec386f1fb844762d7b

Després d’aquesta onada ferotge, que s’estima va causar entre 70 i 200 milions de morts a Euràsia (inclou per tant Xina i India) reduint la població europea entre el 30 i el 60%, la malaltia no va desaparèixer si no que s’estigué a Europa fins finals del segle XVIII. A Europa li costà 150 anys recuperar la població existent abans de l’epidèmia. Un estudi realitzat per un equip internacional d’investigadors publicat a l’octubre de 2010 va confirmar Yersinia pestis com a causa de la Mort Negra i epidèmies posteriors a tot el continent europeu durant un període de 400 anys. L’equip utilitzà tècniques d’amplificació de ADN i estudis sobre proteïnes recuperades dels cossos de víctimes de la pesta enterrades a Hereford (Anglaterra), a Saint-Laurent-de-la-Cabrerisse (França), i Bergen op Zoom (Països Baixos) per identificar el patogen. L’estudi va trobar dues soques, prèviament desconegudes, de Yersinia pestis que tindrien com origen Xina i arribades per dues rutes diferents, en lloc de les més previsibles i “modernes” Yersinia pestis orientalis i Yersinia pestis medievalis. De fet, coneixent el genoma d’aquestes dues soques i coneixent la quantitat de temps necessari per acumular mutacions, s’accepta ara que Yersinia p. medievalis és probablement massa jove per haver produït la mort Negre, ha divergit fa no massa de Yersinia p. orientalis.

Tercera pandèmia; segles XIX i XX. Una pandèmia originada a Xina (de fet probablement les tres van tenir aquí el seu origen) al vols de 1855 i que avançà per Xina i India causant més de deu milions de víctimes. Els registres indiquen una manifestació bubònica, que es va exportar al mon a través del transport marítim de persones, rates i puces infectades. Un segon patró més virulent va ser la forma pneumònica, de fàcil transmissió persona-persona, que va quedar reclosa a zones de Manchuria i Mongolia. Aquest acantonament podria deure’s a la rapidesa dels símptomes i del desenllaç fatal, que reduïen la transmissibilitat. També arribà a Rússia, als Urals. A Hong Kong arribà el 1894, amb taxes de mortalitat entre els afectats del 90%. De transmissió marítima un altre brot intens es donà a Mumbai (india), el 1896, i Hawai el 1899 (i on trigà 60 anys en ser eradicada). Poc després es descrivia a San Francisco, on hi hagueren casos des de 1900 fins 1904. En aquestos brots moderns de pesta bubònica a poblacions humanes fou molt comú un episodi previ d’una cridanera, per elevada, mortalitat a les rates de la zona, descripció aquesta absent als informes de pestes prèvies, com les de la Pesta Negra.

Fou a Hong Kong, precisament, on Alexandre Yersin (en controvèrsia amb Kitasato Shibasaburo) va descriure la Pasteurella pestis (després rebatejada com Yersinia pestis) el 1894. Yersin notà que les rates també resultaven afectades per la infecció (i morien) però que aquest episodi de mortalitat també precedia l’afectació en humans, i que la pesta era considerada per molts habitants locals com una malaltia de les rates; els habitants de pobles de Xina i Indica asseveraven que quan es trobaven moltes rates mortes, aviat es desfermava un brot de pesta.

Yersin_English

Això serveix d’exemple, per comentar que, contràriament al que pensa molta gent, les rates no són els detonants directes de la propagació de la pesta bubònica (recordeu que la pneumònica és principalment persona-persona). Realment és una infecció de les puces (Xenopsylla cheopis) que infesten les rates, fent a les pròpies rates les primeres víctimes. La infecció a persones es dona quan una persona es mossegada per una puça que ha estat infectada al mossegar prèviament un rosegador que s’havia infectat per la mossegada prèvia d’una altra puça infectada. Yersinia es multiplica dins la puça, agregant-se els bacteris entre si, fent finalment un tap que bloqueja l’aparell digestiu de la puça i fa que aquesta es “mori de gana”, tingui una fam permanent. La puça infectada mossega a tot hora, a tot el que té a la vora, per alimentar-se i sadollar-se tot i que no poc calmar la seva fam, pel tap digestiu. Així doncs, acaba vomitant la sang aconseguida barrejada amb bacteris Yersinia, de nou cap l’animal mossegat, ferida endins. Així, Yersinia entra en contacte amb una nova víctima, i la puça eventualment mor…de gana. Un apunt, però. A les zones urbanes, una pesta associada a rates pot ser controlada amb més o menys esforços.

Yersinia Black death cycle1

Tanmateix, Yersinia pot propagar-se amb facilitat a rosegadors no tant humanitzats com són els esquirols i altres petits mamífers, la qual cosa determina que a Amèrica, Àfrica i Àsia, degut a aquests nous vectors, la malaltia ha esdevingut endèmica a moltes àrees rurals.

I com no, un bacteri amb aquestes característiques en una època sense antibiòtics o amb dificultats d’accés als mateixos seria un bon candidat a arma biològica…

Yersinia pestis com arma biològica?

Un dels primers exemples coneguts històricament de guerra biològica es va donar el 1347 quan cadàvers de soldats mongols infestats de Yersinia pestis van ser catapultats pel propi exercit mongol, delmat per la infecció, per damunt dels murs de l’assetjada ciutat de Caffa (l’actual Feodosiya situada a Crimea) per acabar amb un perllongat assetjament.

Yersinia pestis va ser utilitzat com a arma biològica en la Segona Guerra Mundial, quan el 4 d’octubre de 1940, un avió japonès volant sobre Chushien, Província de Chekiang, Xina, va llençar arròs i el blat però també puces infestades amb Yersinia pestis. Un segon avió va efectuar la mateixa operació tres setmanes després. Aquestes accions van portar a un brot local a la zona de l’acció que va matar 121 persones. Tanmateix no eren sols els “pèrfids” nipons. Leon A. Fox, del cos mèdic de l’exèrcit dels Estats Units, ja havia suggerit un enfocament similar en 1933, proposant llençar rates infestades des d’avions.

Se sap que la Rússia soviètica, però també els EEUU, va experimentar intensament, amb la pesta pneumònica amb resultats sembla que “tècnicament interessants” en els anys més crus de la Guerra Freda però no hi ha dades públiques. Es suposa que es va treballar en mètodes per millorar la propagació o dispersió, en millorar les capacitats del bacteri, i la seva resistència als antibiòtics, i en combinar-ho amb altres malalties com la diftèria. Del destí i seguretat actual dels arsenals de pesta pneumònica aerosolizable, si existiren, no en sabem res.

En definitiva, un bacteri històricament molt perillós però contra el que tenim, ara per ara, bones contramesures en forma d’antibiòtics. Clar, que si el bacteri es fes resistent als antibiòtics o no en tinguéssim accés als mateixos, la situació canviaria força.

Però aquesta, aquesta és una altra història.

Comentaris virus-lents (46): Virus i radiació solar, SODIS, una «spin off» de l’entrada 45.

El juny 2012 les Nacions Unides informaven que el 11% de la població mundial (uns 800 milions de persones) no tenien accés a subministraments d’aigua microbiològicament segurs i la previsió era que aquesta situació no milloraria gaire els propers anys.

 

La inactivació per radiació solar (veure entrada relacionada 45 pel cas d’Ebolavirus) és un mètode molt barat i que no requereix cap instal·lació tecnificada per reduir la incidència de malalties gastroenterítiques en zones pobres o molt pobres amb subministrament d’aigua compromesos i/o sistemes de depuració malmesos o inexistents. El procediment, que alguns abreugen com SODIS (SOlar DISinfection) suposa col·locar l’aigua que es vol consumir en ampolles de sistemes plàstic (habitualment PET) transparents tancats i deixar-les en posició horitzontal preferentment sobre planxa o terra durant el dia (mínim 6 hores), particularment en el període de màxima insolació. Hi ha abundant bibliografia que quantifica un descens de la gastroenteritis en poblats o comunitats on s’aplica aquesta tècnica a l’Africa, Àsia i Amèrica.

tratamiento-agua-solar_gif

SODIS_map-fr_svg

 

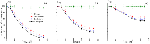
Nombrosos estudis han comprovat i quantificat a nivell de laboratori la disminució de la càrrega de bacteris o virus de transmissió fecal-oral mitjançant SODIS. Així, en condicions de laboratori s’han detectat caigudes de 5 log10 (en escala percentual suposa passar de 100.000 bacteris inicials a 1 bacteri final) per Campyloabacter jejuni en menys de 1 hora d’exposició; d’Escherichia coli enteropatogènica en menys de dues hores; 4 log10R de Yersinia enterocolitica en 3 hores. Un exemple d’inactivació el tenim a la figura 1. Partint de 6 log10, que és una altra manera d’expressar 1.000.000 individus, tenim inactivacions totals en 4 o 6 hores d’alguns bacteris. L’efecte del cel és dramàtic però; mireu con les cinètiques d’inactivació canvien quan passem de cels radiants (a), a cels amb nùvols i clarianes (b) o cels coberts (c) (veure Figura 2). Per contra els cists de protozous com Cryptosporidoum o Giardia son més resistents com també ho son els virus entèrics clàssicament responsables de gastroenteritis com rotavirus, calicivirus i astrovirus, on l’inactivació amb prou feines arriba a 1 log10 (recordem, però, que això és una caiguda del 90% de la càrrega vírica inicial). Però en condicions de camp les dades son també irrefutables. Aquesta senzilla tècnica redueix a la meitat la disenteria i les diarrees infantils allà on s’aplica.

SODIS inactivació bacteriana

 

journal.pone.0090743.g004

Figura 2

Els avantatges d’aquest sistema son:

  • Baix cost, necessari perquè les comunitats afectades per manca de subministrament acostumen a ser molt pobres.
  • Fàcil de fer. No requereix cap protocol complicat o difícil de seguir.
  • Sostenible; no requereix consumibles que siguin cars o difícils d’obtenir.

 

L’aigua no ha de ser massa tèrbola. Si ho és, és millor deixar-la reposar o bé filtrar-la a través d’una gassa o teixit per retenir el material particulat gros ja que fa “ombra” dins les ampolles a la acció de la radiació solar. Evidentment sota aquestes condicions l’aigua s’escalfa però els estudis semblen demostrar per la majoria dels patògens que és el component de radiació ultraviolada del Sol el que fa l’efecte majoritari de la inactivació i no l’augment de la temperatura.

 

L’activitat microbiocida pot millorar-se:

  • Deixant les ampolles plenes damunt superfícies reflectants (metàl·liques) per incrementar la quantitat de llum que es absorbida. Si això és massa car làmines de paper d’alumini folrant exteriorment la part de l’ampolla que descansa al terra és prou efectiu.
  • Deixant els ampolles sobre una superfície fosca, negre, per incrementar l’escalfament.
  • Agitar els ampolles plenes fins a 2/3 un mínim de 30 segons abans de tancar-les hermèticament, per augmentar la quantitat d’oxigen dissolt a l’aigua. La incidència del Sol (particularment del component UVA)sobre el oxigen dissolt generarà unes especies d’oxigen inestables (oxigen singlet, peròxid de dihidrogen també conegut com aigua oxigenada, ions superòxid, i radicals hidroxils) però altament reactives que ajuden a al inactivació

SODIS bottles

Suposo que tots sabem que temperatures per sobre dels 56-57ºC desnaturalitzen les proteïnes i per tant inactiven els virus i els bacteris que com nosaltres som una munió més o menys organitzada de proteïnes, lípids, sucres i genoma. L’aigua dins les ampolles rarament arriba a aquesta temperatura; proves embolicant ampolles amb paper d’alumini han mostrat un augment de temperatura quasi equivalent i una reducció molt menor de patògens bacterians o vírics que ampolles amb la mateixa aigua deixades sense embolicar i patint la mateixa insolació.

 

Evidentment hi ha altres tecnologies desitjables per ser més eficients però també son més costoses d’instal·lar i mantenir en el temps. I no responen moltes vegades a les situacions d’emergència real. Així la OMS i la UNICEF des de 2005 reconeixen la validesa del SODIS com a tractament d’emergència de resposta ràpida i curta a desastres naturals i situacions de crisis humanitàries.

sodis bottles at village

Si sou de safari o de trekking “salvatge”, evidentment les pastilles de clor seran més segures, i sobre tot, més ràpides, però si algun cop esteu en un atzucac perquè s’han acabat les pastilles recordeu aquest consell. No és perfecte però pot ajudar a reduir la càrrega bacteriana o vírica de l’aigua del vostre voltant. Jo ho faria, si em trobes en la situació.

 

Però aquesta, aquesta és una altra història.

Comentaris virus-lents (36): Notes de salut pùblica i emergències víriques (2)

En el mon de les malalties epidèmiques humanes podriem considerar quatre transicions de gran importància:

  • L’aparició de les primeres epidèmies hagué d’esperar a la generalització de l’agricultura i la ramaderia (fa uns 10.000 anys) perquè únicament aleshores comencen a sorgir poblacions relativament denses i grans. La domesticació d’animals i l’acumulació d’aliments en aquestes concentracions humanes (del tot interessants per altres animals com rosegadors, insectes, paparres, gossos) proveïren de noves oportunitats pels moviments interespecífics dels patògens. Així tenim el cas del xarampió originat fa uns 7000 anys a partir del rinderpest dels vedells i la verola apareguda fa uns 4000 anys i derivada del camelpox (la verola del camell, el seu parent filogenètic més proper).
  • La segona transició abraça els moviments d’exèrcits i l’augment del comerç durant l’època de l‘imperi egipci, i la Grècia Clàssica/Roma.
  • La tercer transició correspon a la època d’exploració i colonització americanes. Els europeus portarem, involuntàriament, el xarampió i la verola desconegudes a les Amèriques. Aquest fou un intercanvi unidireccional, no portarem res de tornada, amb l’única controvèrsia de la sífilis. El capità Cook repetí l’experiència, sense voler, a través de la sífilis i el xarampió i la TBC a les illes del Pacífic mentre Lord Jeffrey Amherst intentà transmetre conscientment la verola entre els nadius americans hostils (un dels primers i més ben documentats casos de guerra biològica). Charles Darwin escriví agudament a bord del Beagle…

Wherever the European has trod, death seems to pursue the aboriginal… Most of the diseases have been introduced by ships and what renders this fact remarkable is that there might be no appearance of the disease among the crew which conveyed this destructive importation.

  • La quarta transició, l’actualitat?

La urbanització (amb generació de suburbis pobres i densament poblats), la generalització dels viatges aeris, la liberalització del comerç mundial i l’ increment del comerç de llarga distància, la desforestació i el canvi climàtic estan permetent un “remena, remena” que incrementa les possibilitats de nous hostes o nous hàbitats pels virus.

Però compte! Ara estem cercant molt més, hi ha hagut una millora molt substancial dels plans de vigilància i una millora espectacular en el nombre i la potència de les tècniques diagnòstiques. Per tant, part de la emergència o re-emergència de patògens (o de la intensitat d’aquesta emergència) es deguda sens dubte a aquestes millores.

Aproximadament el 60% del 1415 espècies de microorganismes coneguts com a patògens de l’espècie humana son transmesos per animals, actuant l’home com a hoste incidental o dead-end. Ocasionalment una infecció zoonòtica s’adapta a una transmissió humana-humana i es diversifica lluny del seu origen animal com el cas de la SIDA.

Taylor et al., 2001. Risk factors for human disease emergence. Philos. Trans. R. Soc. Lond. B. Biol. Sci. 356:983-989.

Imagen portada Emerging viruses

En aquest llibre, un molt bon llibre de l’any 1993, i ja es parlava d’emergències virals,  es discuteix entre d’altres dels arbovirus (aquells virus transmesos per artròpodes, com mosquits però també puces o paparres), dels Hantavirus i dels filovirus (Ebola i Marburg), però no hi ha cap comentari del SARS coronavirus, als Henipavirus i cita els virus influenza aviar solament com amenaça teòrica (deu n’hi do el que ha plogut des d’aleshores, no?).

 

El concepte emergència és, doncs, antic, i canviant. Alguns virus emergeixen i després “desapareixen”(del nostre radar però encara hi son a la natura), com seria el cas del SARS coronavirus i d’altres es manifesten de manera continuada en el temps (seria el cas del virus H5N1 influenza aviar, amb casos/infectats cada any)

 

Figura 1 post 2

Peu Figura 1 post 2

A la figura 1 veiem els events (brots) de malalties infeccioses emergents (MIE), graficats en funció del patogen, de l’origen o compartiment d’origen on s’inicia la transmissió, de la seva resistència als medicaments (bàsicament antibiòtics) i del modus de transmissió (vectorial o no). Com es pot veure els bacteris acumulen sistemàticament el 50% o més dels events, essent els virus els segons responsables. Les malalties zoonòtiques (el resultant de la suma de les que es deriven d’animals salvatges o silvestres, d’animals domèstics o de renta (ramaderia) i dels que se sap que provenen d’animals però encara no s’ha aïllat el reservori) ultrapassen en molt les no zoonòtiques o de transmissió intra-humana. Finalment les malalties que demanen un vector (i ara per ara, fora del dengue que es pot considerar intra-humà totes son zoonòtiques) suposen més del 30% dels events dels anys 90.

 

Figura 2 post 2

Aquí tenim una representació gràfica dels events (bacterians i vírics) des de 1940 fins 2004. Alguna cosa us crida la atenció?? Sobre el paper la concentració d’events en EEUU i Europa sembla il·lògica però no ho és tant si tenim en compte l’elevada capacitat diagnòstica i que encara que una malaltia comenci a transmetre’s en un continent (per exemple la SIDA, a Àfrica) s’acabi descriguin, emergint en un altre continent (els EEU en aquest cas). Als EEU hem de considerar l’impacte de la SIDA, encefalitis per WNV, la síndrome pulmonar per Hantavirus (1993), l’arribada del SARS a Canada (Toronto), etc. A Europa, Hantavirus, WNV (Romania, 1997 i 2000), Influenza aviar (Holanda, 2004), etc.

 

Figura 3 post 2

Ja s’ha fet una broma vella dir que vas a l’hospital a fer-te el que sigui i que de fet corres un risc gran d’endur-te una infecció nosocomial per Staphylococcus aureus resistents a la meticilina, per exemple. Doncs be, aquestes infeccions maten prop de 40 vegades més persones que les que van morir per SARS el 2003.

Com veieu las MIE degudes a virus (HIV encara que ja fa més de 25 anys que es va descriure; el dengue, una vella malaltia però que ha agafat nova embranzida); el virus West Nile; la familia dels filovirus (Ebola y Marburg); els Hantavirus tenen un fort impacte als medis però son de llunys menys cruentes que altres factors, per exemple el tabac (de caiguda als països desenvolupats però encara creixent i força als països en desenvolupament) i els accidents de trànsit (la majoria un altre cop als països en desenvolupament). Fins i tot l’any 2003 que va ser l’any del SARS coronavirus, la incidència real en la mortalitat global va ser molt baixa (una altra cosa és el que podria haver succeït).

Per cert abaix del tot de la gràfica trobem el vCJD, que son les inicials de les encefalopaties espongiformes transmissibles, el mal de les vaques boges; ens recordem no? Recordeu l’impacte mediàtic? Fixeu-vos en l’impacte real en temes de mortalitat. Això no treu que hi hagués fortes repercussions econòmiques i canvi de polítiques d’alimentació del bestiar com a conseqüència d’això.

Una patogènesi mortal no està necessàriament associada a una capacitat contagiosa elevada (com s’ha donant pel cas del H5N1, i s’està donant per MERS Coronavirus, per exemple, de l’Ebola tinc els meus dubtes). Un patogen zoonòtic escassament contagiós encara que probablement mortal pot ser que no s’escampi més enllà del cas índex, com acostuma a passar amb la ràbia, o pot ser que infecti solament contactes propers per després esgotar-se o defallir com el cas de la febre de Lassa i els filovirus (com l’Ebola quan es propagava en zones escassament poblades, és a dir, els brots previs). SARS va estar a prop de retroalimentar-se però va ser aturat a temps. Tanmateix les més preocupants son les infeccions insidioses, amb llargs i silenciosos períodes d’incubació en els quals la persona és infecciosa. Quan la malaltia emergeix, com el cas de la SIDA en 1981, la infecció ja s’ha estès fora de control.

 

Les MIE son doncs:

  • malalties velles, i ben conegudes, que estan experimentant un augment en la seva incidència o abast geogràfic (com la tuberculosi, el dengue, Chikungunya ara mateix al Carib),
  • agents recentment descrits que causen malalties conegudes (com la hepatitis C o les ulceres, Helicobacter pylori) o,
  • Malalties noves pròpiament dites com HIV i patologies respiratòries degudes a SARS Coronavirus (2002-2003) o a MERS Coronavirus (actualitat, Península Aràbiga), per exemple.

 

En resum, les malalties víriques emergents (com les bacterianes) tenen unes forces motrius, la majoria antropogèniques, degudes a nosaltres. Son, segons Kuiken et al., 2003. Current Opinion in Biotechnology 14:641-646:

  •  Canvis socials i demogràfics generalitzats,
  • tendències econòmiques i comercials,
  • canvis climàtics (escalfament global mundial, fenòmens regionals),
  • alteració ecosistemes (desforestació, eutrofització aigües, reducció del nombre de predadors d’organismes vectors, etc),
  • canvis a l’atenció mèdica i a les tecnologies (transfusions, transplantaments, resistència a antibiòtics).

I amb això acabem el repàs per posar-nos en context. Ara començarem a endinsar-nos individualment en cada virus.

 

Perquè cada virus, cada virus és una altra història.

Comentaris virus-lents (9): Allò que la «normalitat» amaga

Potser ningú de vosaltres ha sentit a parlar del Tersicoccus phoenicis. De fet molt poca gent es pot dir que l’hagi vist o l’hagi tingut a les mans. No és un petit mamífer que viu en una aïllada selva o desert, ni un bacteri o alga trobada en ambients naturals molt, molt particulars, lluny de tota petjada humana.

És un bacteri que únicament s’ha aïllat dos cops a la Terra. Els dos cops, a més, en ambients mot semblants, dues sales netes que fan servir la NASA (National Aeronautics and Space Administration) i la ESA (European Space Agency) per l’assemblatge dels seus enginys espaials, i que estan sotmeses a una estricta i rígida neteja i desinfecció (desinfecció química, irradiació ultravioleta, etc.). Intrigant a més que ambdues sales estiguin separades per més de 4000 km, una a Florida i l’altre a la Guaiana Francesa.

El bacteri, un membre de la família Micrococcaceae, és un bacteri amb una forma aproximadament esfèrica, de 1 micra (0,001 mm) de diàmetre, aeròbic, Gram-positiu, que no forma espores. Això fa més sorprenent encara, ja que l’espora bacteriana és una forma per persistir condiciones ambientals molt adverses, l’aïllament del bacteri en aquests ambients tan controlats. Se li accepta la capacitat de persistir en ambients amb molts pocs nutrients i per això se li ha donat l’etiqueta d’extremofil, que comparteix amb altres bacteris que persisteixen i creixen en condicions gairebé abiotiques. D’aquest bacteri tenim únicament dues soques o variants ja que únicament s’ha aïllat a dos llocs.

El seu origen és indubtablement terrestre. Segons algunes opinions, aquestes sales haurien exercit una mena de “selecció positiva” cap aquest bacteri en termes de persistència i habilitat per mantenir-se viu sens gairebé nutrients. Per altre banda seria un bacteri poc comú que quedaria sempre “tapat” per altres bacteris numèricament més importants o metabòlicament més actius, que el desplaçaren en tots els intents fets per aïllar-lo en altres condicions.

Això sí, s’ha estudiat i seqüenciat el seu material genètic perquè si alguna vegada alguna forma de vida (bacteriana o vírica, per suposat) arribes a la terra dins d’un enginy espaial, poguessin descartar que no haguéssim estat nosaltres qui l’haguéssim llençat a l’espai per desprès recuperar-lo.

De la mateixa manera, per evitar contaminar nosaltres altres cossos estel·lars o planetes, s’ha fet servir aquest bacteri com a control per millorar els mecanismes i mètodes d’esterilització d’aquest ambients tan controlats.

La vida, en tota les seves formes, eucariota però sobre tot procariota, no entén de controls, però.

Però aquesta, aquesta és una altra historia.